Thesis Projects

Finished Master/Diploma projects

Axion Quark Nuggets – Testing a Novel Dark Matter Model using the Cosmological Simulation ‘SLOW’ and Inferring its Observational Detectability

 

Here, we analyze a novel, promising Dark Matter candidate called Axion Quark Nuggets (AQNs) in the context of traceable electromagnetic signatures in galaxy clusters after interactions with baryonic matter. We use a cosmological simulation called "Simulation of the LOcal Web (SLOW)", which simulates the local universe and therefore contains galaxy clusters that resemble digital twins of their real counterparts. We propose that the Fornax and Virgo clusters are the most promising candidates hosting detectable AQN signatures.

 

Julian Sommer 

File Arrow DownThesis

Spatially-Resolved Age and Metallicity of Galaxies and Their Stellar Shells

and Streams in the Magneticum Simulation

 

IFU surveys and stellar population synthesis made it possible to investigate not only the global ages and metallicities of galaxies, but also their spatial distribution, which play a major role as tracers of galaxy formation history. Utilizing the hydrodynamic cosmological simulation Magneticum Pathfinder, I examined these properties in galaxies and their stellar tidal shells and streams. In the simulation, global metallicity and age scaling relations are consistent with observations. According to the radial age profiles, spheroids are old everywhere, whereas disks become younger outside the central region. I found that metallicity gradients in general are negative and suggest an “inside-out” progression of star formation. Additionally, I identified galaxies exhibiting a young positive and old negative metallicity gradient. This can be explained by a formation scenario of quenching and subsequent restarting of star formation. In the outskirts of galaxies, I analyzed stellar shells and streams and their progenitors. The velocity dispersion in both types of features is lower than in their surroundings, while their ages do not significantly differ in this aspect. However, shells are more metal-rich, while streams are metal-poor compared to their environment. This is likely related to the mass-metallicity relation because stream progenitors are less massive than shell progenitors, and therefore also less metal-rich. With these new insights from a cosmological simulation, the formation history of observed galaxies, shells, and streams can be further constrained.

 

Johannes Stoiber 

File Arrow DownThesis

Collecting Shells in the Tides: Formation of Dwarf Galaxies From Mergers Inside Galaxy Clusters

 

Although galaxy interactions are thought to provide a possible cradle for low-mass objects, environmental influence could still be a crucial driver for their formation and evolution. This hypothesis is stimulated by observations of star forming knots inside extended tidal tails of ongoing galaxy mergers in clusters. Such an arrangement prompts the intriguing question as to whether cluster environments could support tidal dwarf formation. I test this evolutionary channel by performing hydrodynamical simulations of galaxy mergers inside clusters. I demonstrate that environments indeed are capable of stripping tidal dwarf galaxies. Exposed to ram pressure, these gas dominated objects exhibit high star formation rates, while also loosing gas at the high-mass end. With time, they either evaporate due to their low initial mass, or are disrupted as soon as they reach the cluster center. Intact dwarf galaxies can still be found ~4 Gyr after the merger event, demonstrating that such objects can prevail for a significant portion of the Hubble time. The obtained results indicate that the fraction of dwarf galaxies with tidal origin could be significantly higher than in current estimates adopted in the literature, since the latter do not consider environmentally supported formation scenarios.

 

Anna Ivleva

File Arrow DownThesis

A Subgrid Model for Supernova Remnants as Sources of Cosmic Rays in Cosmological Hydrodynamical Simulations

 

The vast majority of Galactic cosmic rays are accelerated at the strong shock waves of supernova remnants, which should therefore be implemented as subgrid sources in any large-scale simulation code that contains a model for spectral cosmic rays. The common approach is to describe the complicated spectra of high-energy protons end electrons released by a supernova remnant over its lifetime by a simple power-law in momentum space. In this Master's thesis we propose a more realistic treatment of supernova remnants as cosmic ray sources, which is based on recently published models that include descriptions for the time evolution of shock radius and velocity, particle escape from the remnant, amplification of the self-generated magnetic field, and energy losses from adiabatic expansion as well as from synchrotron radiation and inverse Compton scattering.

 

Daniel Karner

File Arrow DownThesis

Spin Evolution of Galaxies in the Magneticum Pathfinder Simulations

 

The galaxies we observe today display a large variety of apparent shapes from near-perfect disks like the void galaxy MGC+01-02-015 to massive elliptical BCGs. These morphological differences emerge from different formation histories of galaxies. Their stellar angular momentum vectors (spin) change in magnitude and orientation (flips) through the interaction with the cosmic web via tidal torque, smooth accretion and merger events.

By using the highest-resolution box of the Magneticum Pathfinder simulations, I trace the resolved stellar angular momentum of galaxies through time. I explore the relation between spin flips and evolution of a galaxy's kinematic morphology (determined by its b-value) as well as the connection to star formation.

I further show how well spin flips can be predicted from merger accretion and finally link the spin change histories to the state of galaxies at z = 0.

 

Silvio Fortuné

File Arrow DownThesis

Are You Bound or Just Projected?
The Behavior of Substructures from Expansion to Galaxy Clusters

 

In our Universe, two dark components play an intricate role in forming the structures that we can observe today. On the one hand, dark matter still presents an unresolved puzzle. One imprint of dark matter that can be used to understand its nature, is left in the distribution of mass in the substructures in galaxy clusters. Here, observations have reported mass fractions that are difficult to reproduce in simulations, challenging our current paradigm. Using the cosmological hydrodynamical simulation Magneticum Pathfinder, I showed that this discrepancy results from projection effects in measurements, explicitly at the case of the famous cluster Abell2744. More illusive, on the other hand, is the dark energy component, for which the influence on the internal structure properties is still not well understood. Here, this thesis targets the question in how far the orbits of particles are influenced by the dark energy, and which effects this can have over cosmic time.


This thesis was awarded with the LMU Research Prize 2022.

Lucas Kimmig

File Arrow Down Thesis

Galaxies and Active Galactic Nuclei in Galaxy Clusters

 

The extreme environment of galaxy clusters, densely packed with galaxies and filled with hot intracluster medium has a profound impact on cluster galaxies and their cold gas reservoir, which is reflected in their level of star formation and AGN activity. In this work, I investigate galaxies and AGNs in the cluster environment in Magneticum simulations. I explore the radial distribution of X-ray bright AGNs and star-forming galaxies and attempt to constrain the underlying physical mechanisms by seeking correlation with properties of galaxies and their environment, such as stellar mass, local density and parent cluster mass. I also demonstrate how the large-scale distribution of galaxy clusters impacts the profile of a single cluster. 

 

Gregor Rihtarsic

File Arrow Down Thesis

Evolution and Dynamics of Cold Gas in Simulated Galaxies

 

Star formation in galaxies is fueled by their reservoirs of cold gas. In order to collapse into stars gas clouds need to cool effectively. Above temperatures of 10^4K the universally abundant atomic hydrogen is largely ionized and acts as an effective coolant. Below these temperatures however, other gas species have to fill this role. In this work an alternative implementation of cooling at these lower temperatures is tested in cosmological simulations with the OpenGadget3 SPH code. this implementation, developed by Dr. Umberto Maio, utilizes a chemical network to track the non-equilibrium abundances of the various hydrogen and helium molecules as well as the relevant states of select metal species for every SPH particle in the simulation. With this information the low temperature cooling contribution of these gas species can be computed at each timestep. The effect of this alternative implementation on galaxy formation and evolution is studied in re-simulations of Magneticum Box 4 and zoom-ins of two COMPASS regions. The abundance of molecular gas predicted by the model throughout the evolution of the universe is compared to observations. Different model configurations are tested to study the effectiveness of the hydrogen self-shielding implementation. The addition of density based self-shielding to the model is found to increase the cosmic abundance of molecular hydrogen in the simulation dramatically without drastically altering the evolution of galaxies in the cosmological box. However, the results also suggest that matching observed molecular gas abundances likely requires higher mass resolutions or further additions to the chemical network. A promising candidate for the latter solution is the implementation of dust as a catalyst for molecular hydrogen formation.

 

Bendix Hagedorn

File Arrow Down Thesis

The Role of Physical and Numerical Viscosity in Hydrodynamical Instabilities

 

The evolution of the Kelvin-Helmholtz Instability (KHI) is widely used for testing numerical codes. We employ this instability in order to test both the smoothed particle hydrodynamics (SPH) and the meshless finite mass (MFM) codes implemented in OpenGadget3 and compare their accuracy in reproducing the KHI with different number of neighbours and different set-ups. Additionally, we also use the KHI to study the effect that a Braginskii viscosity has in the growth of the instability. We find a strong dependence on the number of neighbours in our SPH code, where with a low number of neighbours the instability is partially suppressed, but it can develop with a higher number of neighbours. The number of neighbours becomes also relevant depending on the initial conditions employed. This dependence is not found in the results with MFM, where the instability grows as expected independently on the number of neighbours and set-up employed. Physical viscosity plays an important role in the growth of the KHI, where we find a viscosity threshold that fully suppresses the instability. For viscosities smaller than this threshold the instability can develop, but the rate of growth depends on how viscous the fluids are. We also find that the intrinsic viscosity of the code contributes to the total amount of viscosity in the simulations, leading to a larger viscosity than the one implemented.

 

Tirso Marin

File Arrow Down Thesis

Optimized Sampling of the Cooling Function for Cosmological Simulations Using an Amorphous Mesh

 

The so-called cooling function Λ is an important consideration in cosmological simulations. It depends on many different parameters, such as temperature, density, chemical composition, and radiation background, which makes it time consuming to calculate and introduces many features with large gradients to its functional form. As such, Λ is usually interpolated from regular grids of samples which provide only a poor approximation due to the high dimensionality of the parameter space. In this thesis a new sampling algorithm CHIPS is introduced, which draws samples using an amorphous mesh rather than a regular grid and automatically takes into account the shape of the cooling function to increase interpolation accuracy. Further, C/C++ implementation of a Delaunay based interpolation algorithm is developed to take advantage of these meshes and is integrated into the cosmological simulation codes OpenGadget and Gasoline. Results indicate that these new algorithms are superior to conventional methods in accuracy and speed, but suffer in memory use. These results are most pronounced in the low density regime, as well as near the hydrogen ionization threshold near 10^4K. Despite its drawbacks this approach shows promise and lays the groundwork for further research into mesh based interpolation of the cooling function.

 

Stefan Lüders

File Arrow Down Thesis

Protoclusters of Galaxies in Cosmological Zoom Simulations

 

The so-called cooling function Λ is an important consideration in cosmological simulations. It depends on many different parameters, such as temperature, density, chemical composition, and radiation background, which makes it time consuming to calculate and introduces many features with large gradients to its functional form. As such, Λ is usually interpolated from regular grids of samples which provide only a poor approximation due to the high dimensionality of the parameter space. In this thesis a new sampling algorithm CHIPS is introduced, which draws samples using an amorphous mesh rather than a regular grid and automatically takes into account the shape of the cooling function to increase interpolation accuracy. Further, C/C++ implementation of a Delaunay based interpolation algorithm is developed to take advantage of these meshes and is integrated into the cosmological simulation codes OpenGadget and Gasoline. Results indicate that these new algorithms are superior to conventional methods in accuracy and speed, but suffer in memory use. These results are most pronounced in the low density regime, as well as near the hydrogen ionization threshold near 10^4K. Despite its drawbacks this approach shows promise and lays the groundwork for further research into mesh based interpolation of the cooling function.

 

Elena Hernández Martínez

File Arrow Down Thesis

Shapes, Kinematics, and Formation Histories of Galaxies in Cosmological Simulations

 

As one of the most fundamental properties, the spatial distribution of matter is a key component for modeling galaxies and their dynamics. A good understanding of the 3D shapes of galaxies is therefore necessary. In this work, a variety of shape determination methods used in the literature are compared and tested. For the best method, the shapes of a sample of galaxies from Box4 (uhr) of the Magneticum Pathfinder Simulations are studied and related to the morphology, to kinematic and large-scale properties, and to properties describing the formation history. The analyses show that the shapes are correlated with a broad range of galaxy properties. Additionally, the radial shape and alignment profiles are analyzed for different kinematic classifications, where it is revealed how closely the dark matter (DM) follows the stellar component. This is an especially important result for the modeling of DM in galaxies, which is necessary for Jeans modeling, lensing models, and many other applications in astrophysics that try to connect the DM to the baryonic components to shed further light on the nature of DM.

 

Lucas Valenzuela

File Arrow Down Thesis

Contribution from Stellar Binaries to the X-ray Emission of Simulated Galaxies

 

This work presentes the implementation of a new X-ray emission model for the stellar component of cosmological simulations in the form of X-ray binary emission within the framework of the virtual photon simulator Phox. The validity of the model is confirmed by reconstructing X-ray luminosity functions of local galaxies and con

fronting X-ray scaling relations. We analysed the relative contribution of XRB emission for a set of simulated galaxies of the Magneticum Pathfi

nder Simulation set over a broad range of energies, with respect to their ISM and AGN emission. Lastly, the X-ray emission within a lightcone view build from data of the Magneticum Pathfi

nder simulation is compared with the unresolved cosmic X-ray background and in reasonable agreement for the power law behaviour in the hard X-ray band (E > 2 keV).

Stephan Vladutescu-Zopp

File Arrow Down Thesis

Cosmic Rays in Galaxy Clusters - An on-the-fly Fokker-Planck Solver for OpenGadget3

 

High energy particles, mainly electrons and protons, make up a significant fraction of the interstellar- and a reasonable fraction of the intracluster medium. Observational evidence shows the existence of this component e.g. via synchrotron emission by relativistic electrons in spiral galaxies and in so-called “radio relics” on the outskirts of galaxy clusters. While recent work has been focusing more on this underrepresented component in structure formation simulations, most of this work has treated the energy budget of the Cosmic Ray (CR) component as a whole. Here we extended work started by Beata Pasternak to include CRs in our magneto-hydrodynamical simulations of structure formation, while also tracing the spectral evolution of CR populations. For this we included CRs as an additional fluid component and evolved the fluid by solving the diffusion-convection equation for CR population of electrons and protons. This was achieved by implementing a “Fokker-Planck-Solver” in OpenGadget3. The solver updates the spectra at every timestep according to adiabatic changes of the surrounding gas, radiative losses of the CRs, injection of CRs via “Diffuse Shock Acceleration” (DSA) and reacceleration of existing CRs due to turbulence of infalling substructure. We modelled the acceleration of CRs by shocks to a high accuracy and also find excellent agreement with analytic solutions for radiative cooling of electrons and the impact of adiabatic changes of the surrounding gas. Finally we used this model to run some preliminary simulations of idealized galaxy cluster mergers, which will give the basis for future work.

Ludwig Böss

File Arrow Down Thesis

The Influence of Environment on the Stellar Kinematics of Brightest Cluster Galaxies

 

Brightest cluster galaxies, sitting in the gravitational centre of galaxy clusters, act as a link between galaxy and cluster physics. To what extend the stellar movement in galaxies is a product of their environment, is rather unclear. If cluster characteristics influence galaxy kinematics this effect should be most obvious in BCGs.

 

In this master thesis, I take an in-depth look at the kinematics of 398 BCGs from the Magneticum Pathfinder simulations. First, their kinematics are studied at z=0. Then 250 galaxies are traced to z=2. This allows to investigate the temporal evolution of many kinematical and environmental properties. The statistical evolution of these properties is examined and finally a case study of 12 BCGs is completed where the development of kinematics and environment is set in relation to one another. Six of these galaxies end up in a non-cool core environment whereas the cluster of four of these BCGs keeps its cool core.

 

The findings suggest that there is a correlation between coolcoreness and the h4 parameter. Furthermore, the development of a cool-core is a continuous process that correlates with strong mass accretion between 2 > z > 1.5 for the sample of 12 BCGs in this case study.

Maximilian Kühn

File Arrow Down Thesis

Implementing a Meshless-Finite-Mass Scheme Into the Cosmological N-Body Code Gadget

 

We implemented a meshless finite mass (MFM) scheme to resolve fluid dynamics in the cosmological N-body code OpenGadget3. In doing so, we offer an alternative method of simulating hydrodynamics in astrophysical environments, contrasted to the historic approach of smoothed particle hydrodynamics (SPH). The new scheme directly calculates inter-particle fluxes while still maintaining an overall Lagrangian nature. We discuss the theory behind both solvers and carry out various test cases to study their performances. We find that for simulations with exclusively hydrodynamical interactions, MFM produces less over-smoothing while executing in roughly half the time of SPH. This comes with the drawback of noisier solutions. Coupling our implementation to gravity, we see good agreement between SPH and MFM for simple tests but find numerical and physical instabilities for more demanding cases. We believe these to be resolvable without requiring a complete rewrite of the solver and expect MFM to become a viable competitor to SPH in the future.

Paul Hinz

File Arrow Down Thesis

Planes of Satellite Galaxies in Large-scale Cosmological Simulations

 

Recent observations have found highly anisotropic distributions of dwarf satellite galaxies around nearby central galaxies, most prominently Andromeda, the Milky Way, and Centaurus A. All three of the former have been observed to feature a thin, highly anisotropic and statistically significant plane of satellites, and the combined 

odds for three similarly significant planes are negligible. Subsequent searches in cosmological simulations have led to mixed results, prompting our search in Magneticum. 

 

In order to find explanations of this pronounced anisotropy, we explore three formation scenarios for such planes: group infall, second-generation tidal dwarfs, and filamentary accretion. Then we develop two methods of identification of satellite alignment and planes: the "three-satellite planes" method tries to locate preferential alignment through searches among all possible combinations involving three satellites of the respective central, 

while the "momentum in thinnest plane" method fits the thinnest possible planes to subsets of the satellite population of a galaxy and then checks if their momentum adheres reasonably well to those planes. 

 

The key results of our study are as follows: we find a pronounced preference for thin, momentum-aligned planes in the ensemble of our more than 600 systems. This trend is most visible in planes consisting of up to 50\% of the satellites available in the system, but also carries on into planes with a higher fraction of satellites partaking. 

Further study is needed to quantitatively compare to other simulations and observations, but the results are nonetheless promising.

Pascal Förster

File Arrow Down Thesis

The Interplay of Magnetic Fields and Star Formation Processes Using SPMHD Simulations

 

Cosmological simulations deal with very large structures and there is not enough resolution to couple all the dynamical range of processes taking place, so it is very important to model consistently phenomena that occur in unresolved scales. One example of subresolution model is proposed by [Springel and Hernquist, 2003] in which the star formation and the supernova feedback can be modeled by a multiphase structure of the Interstellar Medium (ISM). In their approach, the ISM consists of cold and hot gas and includes radiative heating, cooling, star formation and feedback from supernova. This model predicts a self-regulated star formation quiescent mode for the gaseous part of disk galaxies and has only one free parameter: the overall time-scale for star formation. First improvement of this model is to express the star formation rate in terms of external pressure, which allows to include further physical processes such as magnetic fields. This is done by assuming that the cold and hot phase of the ISM are in pressure equilibrium [Murante et al., 2010] and the star formation arises from the molecular fraction of the gas, which is proportional to external pressure [Blitz and Rosolowsky, 2006]. After implementing the MHD extension of the star formation model in gadget code [Springel, 2005, Springel et al., 2001] and having studied the behaviour of this model with simulations, we then can include a more complicated feedback model including magnetic field seeding from Supernova (SN) [Beck et al., 2013]. In particular, as it has already confirmed that the magnetic field in protogalaxies can be produced by the dynamo effect in contracting protostars [Bisnovatyi-Kogan et al., 1973]. Mass loss by stars and SN explosions can then enrich the ISM with magnetic fields and provide a seed field in the galactic dynamo. It is interesting to examine how this feedback model works with the MHD extension of the star formation model in idealized disk galaxies.

Eirini Batziou

File Arrow Down Thesis

Spiral Galaxies in Cosmological Zoom-Simulations

 

Cosmological Zoom-Simulations have proven to be a invaluable tool to study structures on all scales, from superclusters down to large elliptical galaxies. With this study, we aim at resimulating Milky-Way-like disc galaxies and thereby to finalize an existing set of Zoom-Simulations which then spans a range in mass from 10^11 to 10^15 M. To this end, we use a 1 Gpc/h sized cosmological box which allows to choose objects from a variety of cosmological ecosystems. For this purpose, significant improvements of the simulation setup are necessary. We revisit implementations of black hole merger processes, adapt the merger conditions, and conclude that black holes need to merge onto the black hole which resides deeper in the potential to assure the remnant black hole stays within the galaxy. A comprehensive parameter study of the AGN feedback model shows that best results are obtained if the feedback acts only on hot gas, regardless of the accretion mode of the AGN. Runs without AGN feedback do not result in realistic disc galaxies. Our final production runs yield galaxies which follow the relevant scaling relations. I emphasize the notably thin galactic discs and various morphological features in the galaxies, such as bars and spiral arms of different classes. The developed simulation setup allows diverse subsequent studies, which will benefit from even higher resolutions that are now feasible. Finally, I present the results of an observational study on spiral structure in disc galaxies and review the main features of an IFU data analysis pipeline, to complement the numerical investigations.

Adrian Bittner

File Arrow Down Thesis

Simulated Galaxy Interactions In Cosmological and Idealized Environments

 

Most of all galaxies are not field galaxies but are companied by other galaxies in groups or clusters. A special case of these galaxy gatherings are compact galaxy groups, which are extremely dense accumulations of galaxies in which galaxy interactions occur very frequently. These interactions have a huge impact on the corresponding galaxies and are a fundamental part of galaxy evolution. The information about the merging events are stored in the outer stellar halo of a galaxy or in the intra group light (IGL) respectively. In this thesis cosmological zoom simulations of compact groups as well as a parameter study using high-resolution isolated galaxy merger simulations covering a large bandwidth of orbit parameters and mass-ratios were used to study the effects of galaxy interactions onto their evolution. During this study it is found that compact galaxy groups are physically dense objects, and indications were found for the final phase of compact groups to be giant elliptical galaxies in isolated environments. In addition it can be seen that mergers always deposit significant amounts of mass in the outer stellar halos of galaxies and are therefore building and contributing to the IGL. Furthermore is shown that the outer stellar halo is enriched mainly by minor and very minor mergers, while the morphology of galaxies is mainly influenced by major or intermediate mergers.

Geray Karademir

File Arrow Down Thesis

Hydrodynamic Simulations of AGNs in Galaxy Clusters

 

Active galactic nuclei (AGN) are among the brightest objects in the universe and the least understood. They interact with their environment through several energy feedback mechanisms such as radiation, winds, and jets. Even though many details of these feedback processes are still to be worked out, it is certain that they strongly influence the evolutionary history of their host galaxy and galaxy clusters. Furthermore can AGNs hold the answers to open standing questions of observational measurements such as star formation rate quenching in galaxies and the cooling catastrophe of the intra-cluster medium. 

In this work, the effects of AGNs on galaxy clusters were studied with the help of the TreePM-SPH-code GADGET-3. The main focus lies on the comparison of two AGN feedback routines, which have the treatment of the radio-mode as their 

major difference. Since this is a preliminary study of concepts, low resolution simulations are used. Whereas the fiducial simulation implements the mechanical outflow, which dominates in the radio-mode, as thermal feedback, the new simulations impart kinetic energy. This is motivated through the closer agreement with a unified AGN model.

Christoph Becker

File Arrow Down Thesis

Orbital Dynamics in Galaxy Clusters

 

The effect of galactic orbits on a galaxy's internal evolution within a galaxy cluster environment has been the focus of heated debate in recent years. To disentangle this relationship, we investigate the phase space, the orbital evolution and the velocity anisotropy of cluster satellites. Through the use of the hydrodynamic cosmological simulation Magneticum Pathfinder, we evaluate the orbits of subhalos associated with 20 clusters. Thus, we are able to achieve a statistically relevant sample of galaxies inside clusters, which we further split into quiescent and star forming galaxies. This split allows us to observe the internal galactic evolution and study its dependence on the radial distance and anisotropy parameter. We then extend our investigation and consider the evolution from high redshift to present day. This allows us, amongst other considerations, to relate infalling galaxies with their progenitors, so as to understand the star formation history. To evaluate the validity of the simulation-based findings, we compare, where possible, with observations. We find that at redshifts z < 0.5 the vast majority of galaxies are quenched through ram-pressure stripping during their first passage.

Marcel Lotz

File Arrow Down Thesis

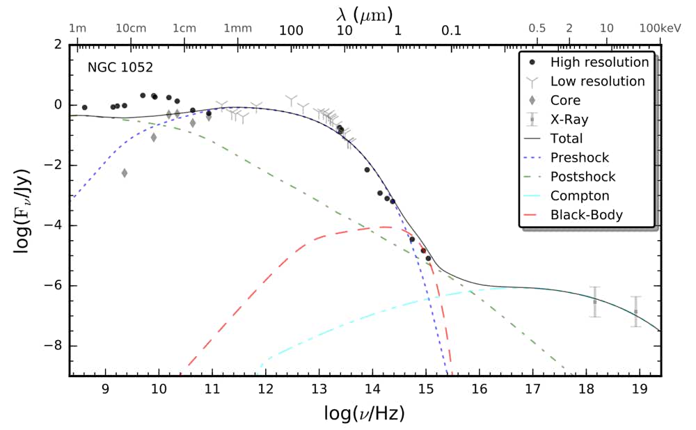
Modeling The Spectral Energy Distribution of Low Luminosity Active Galactic Nuclei

 

Feedback is a crucial ingredient to correctly predict galaxy evolution in cosmological simulations.Recent studies show that the most numerous class of AGNs in the local universe are low luminosity AGNs (LLAGNs), whose dominant energy output is likely carried by jets: collimated outflows of energetic particles, which could even exceed the feedback of supernovae.In contrast to the unified scheme for AGNs, where it is believed that around the black hole forms an accretion disc and further outside a torus, LLAGNs seem to show none of them. How then do the central engines receive energy? Which effects are triggering the launch of jets and provide their power? The ongoing processes seem to be fundamentally different to "normal" AGNs.

 

Despite the lack of knowledge about the full physical picture, a scaling relation of black holes over the entire mass-range is a starting point for developing numerical models; specifically in the case of LLAGNs models of jet-like outflows.In this thesis a semi-analytical numerical model, focusing on jet emission, is applied to a sample of three nearby LLAGNs, whose observational spectra consist out of highest angular resolution images available over nearly 10 orders of magnitude in frequency.For all sources the emission of a compact jet gives an excellent representation of the continuum emission over the entire spectrum.

 

Extending the number of objects investigated with this technique, will provide a better understanding of the radiative and kinetic energy output of LLAGNs.

 

This can be used in future cosmological simulations to improve the modelling of especially the late stage of galaxy evolution.

 

The panel displays the specific flux density (Jy) versus the frequency (Hz).

Black dots are the sub-arcsec resolution measurements. The X-ray data is indicated by the grey squares, their bars span one order of magnitude. Low angular resolution observations are represented by grey spikes.Grey diamonds display lower limits of core emission measurements.The coloured lines represent the spectrum of individual model components:

 

The thermal plasma at the base of the jet radiates synchrotron emission. The spectrum produced is the preshock component, represented by the dotted blue line.

Accelerated particles in the jet obey a power law energy distribution. Their synchrotron emission, the postshock component, is shown in dash-dotted green.

The energetic particles scatter up photons by the inverse Compton effect, giving rise to the Compton component (dash-dash-dotted cyan). The thermal spectrum of the truncated accretion disc is represented by the dashed red line. The model spectrum, the solid-thin black line, corresponds to the sum of all the components.

Lennart Reb

File Arrow Down Thesis

Simulating Chemical Enrichment in Galaxies

 

The observed chemical enrichment can be used to constrain the feedback models used in numerical simulations for a wider understanding of galaxy formation and evolution. In this work is made an up to date comparison of the mass-metallicity relation (MZR) and the metallicity gradients from the latest observational data with galaxies in the Magneticum Pathfinder simulations, which follow a detailed model of stellar evolution and chemical enrichment, described in Tornatore et. all 2007. In addition, we try to mimic the same selection criteria made in observations within a galaxy, addressing the possible influence of observational and numerical issues in the discrepancies with observed trends.

Emilio Mevius

File Arrow Down Thesis

The Kinematics of Elliptical Galaxies in The Magneticum Pathfinder Simulations

 

The formation and evolution of galaxies is still unknown in many aspects. The complex interplay between baryonic processes and the hierarchical structure formation of dark-matter halos is still a highly-debated research topic. Several recent studies using novel observational techniques, especially integral-field spectroscopy, suggest that the formation history, and thus the closely related in- and outflow of matter, is encoded in the stellar kinematics of galaxies. During the hierarchical assembly of dark-matter halos within the ΛCDM framework, dominant processes like stripping, harassment, and galactic mergers leave an imprint in the present-day kinematics of early-type galaxies (ETGs). Physical effects like dynamical friction and violent relaxation during these processes are capable of drastically modifying the statistical distribution of orbits, while triggered star-formation and accretion of fresh gas builds up new cold components.

‍ 

In this study we explore the stellar kinematics of ETGs using the fully cosmological hydrodynamic Magneticum Pathfinder simulations. More specifically, we study the dichotomy of fast and slow rotating ETGs, first reported in the pioneering projects by SAURON and ATLAS3D. Applying different morphological tracers reveals that the two-dimensional density profile is not sufficient to disentangle fast and slow rotators. In contrast, the position in the stellar mass-angular momentum plane, which is a tracer for morphology, is strongly correlated with the kinematical flavour of an ETG. We compare, where possible, our results to recent observations to infer the formation history of those objects.

 

Furthermore, we study the misalignment angles between kinematics and morphology, defined as the angles between the total angular momentum and the principle axis of inertia to explore the complex interplay between angular momentum and morphology of ETGs.

Felix Schulze

File Arrow Down Thesis

Modelling Warm Dark Matter in Cosmological Simulations

 

The standard ΛCDM model of cosmology postulates that the formation of structures in the universe is driven by a largely unknown component of dark matter. It is one of the most important projects of modern physics to find out what dark matter is. Cosmological simulations are an important tool to predict the effects of different dark matter models, and to constrain properties of dark matter by the comparison with observations of our universe. We attempt to simulate different warm dark matter scenarios in cosmological ”zoom-in” simulations (which allow the investigation of a single object in high resolution), and comsological boxes (which exhibit low resolution, but good statistics). However, N-Body simulations of warm dark matter suffer from the artificial fragmentation of filaments into small, spurious halos. We decide to address this problem by considering new numerical approaches. As a first approach we test Adaptive Gravitational Softening, but find that it does not help out, as it does not follow the anisotropic distortions of the dark matter sheet. Therefore, we develop the new numerical technique Anisotropic Softening which is based on the potential of ellipsoids that can deform and rotate along all three axes individually. The deformations of the ellipsoid are defined by the Geodesic Deviation Equation, a numerical technique that follows the distortions of an infinitesimal volume element around each particle (Vogelsberger et al., 2008). With Anisotropic Softening we manage to match mass- and force-resolution precisely also in situations of highly anisotropic collapse, and thereby avoid any artificial fragmentation while keeping the force resolution high. As a last step we present warm dark matter simulations in a full cosmological environment that do not suffer from any fragmentation.

Jens Stücker

File Arrow Down Thesis

Angular Momentum Distribution in Galactic Halos

 

The evolution and distribution of the angular momentum (AM) of dark matter (DM) halos have been discussed in several studies over the past decades. To understand the connection between the AM of the DM halo and its galaxy, we extract in total more than 2,000 individual galaxies from the uhr run of Box4 of the Magneticum Pathfinder simulations at different redshifts. In these simulations we are able to split the galaxies into disk and speroidal systems. Our simulations reproduce well the observed scaling relations between the stellar mass and the stellar specific angular momentum. We find that disk galaxies preferentially reside in halos where the AM vector of the DM in the center is better aligned with the AM vector of the whole DM halo. The distribution of the spin parameter λ also shows a seperation of disk and speroidal galaxies.

Adelheid Teklu

File Arrow Down Thesis

Black Holes in the Magneticum Pathfinder Simulations

 

Over the last years it has been generally accepted that black holes are essential to understand the formation and evolution of galaxies. But the detailed connection between the growth and evolution of black holes and their host galaxies as well as the observed, fundamental scaling relations between them are currently only poorly understood. In my thesis the Magneticum Pathfinder simulations are analysed quantitatively and qualitatively. Resolving galaxies and AGN feedback in cosmological simulations allows challenging the understanding of galaxy formation and its connection to black hole physics. In my thesis the reliability of the current black hole model is demonstrated by comparing the simulation with observations, i.e. the relation between the black hole mass and the stellar mass, the M-sigma-relation, the stellar mass functions or the luminosity functions at various redshifts. The simulations in general are very successful in reproducing these relations. Thus it is possible to investigate in detail how black holes grow, how their luminosity evolves over cosmic time and what their environment looks like. I could show that galaxy mergers play an important role for the black hole growth and thus for the appearance of AGN, which is depicted in the figure. The red dot represents the black hole, whereas cold gas is blue, hot gas is red and stars are white. The graphs below show the mass growth and the light curve of the black hole. The peak in the luminosity appears during a merger. I also found that fainter AGN can be triggered by mergers or smooth gas accretion. Furthermore I studied AGN feedback and black hole accretion in more detail. Thus the simulation could be improved by implementing a radiative efficiency of the AGN feedback, which depends on the black hole mass. I also showed that we have to improve the accretion model. In the simulations the Bondi model is used. The Bondi accretion rate is multiplied by a boost factor. Since the choice of this factor has a significant effect on the black hole growth we have to further understand the origin of this parameter.

Lisa Bachmann

File Arrow Down Thesis

A Disk-Disk Major Merger Event in a Zoom-Simulation

 

With the aim to understand the formation of galaxies and especially the impact of the gas component and the feedback on the evolution of elliptical galaxies, we performed high-resolution zoom simulations of galaxies selected from a large cosmological box (Gpc in size), which are forming at the border or inside a void structure at present day (Magneticum Pathfinder simulations). The example on the left shows, within a self consistent cosmological context, the formation of a disk galaxy from a redshift of z=10 to z=0.45, where it suffers a major merging event with another massive disk galaxy. This causes a starburst and changes the morphology of the two galaxies that then form a single spheroidal galaxy. This is an event that can be seen in the present day universe, for example in the famous Mice Galaxies or the Antennae Galaxies. Our spheroidal galaxy undergoes another dynamical event during the last 2 Gyrs of its life until the present day that is also a major component of galaxy evolution: a massive dry minor merger. This merger leaves shell-like structures around the galaxy as a signature that is visible for about 200-500 Myrs, a phenomenon that can be observed at present day, for example in the Arp 227 Galaxy.

David Schlachtenberger

File Arrow Down Thesis

On anisotropic thermal conduction in cluster cooling flows

 

Observations show that thermal conduction in cooling flows of galaxy clusters is strongly suppressed in some regions. This suppression is due to the restrictive motion of charged particles in a cluster's magnetic field. In this work we derive a numerical scheme to implemented anisotropic thermal conduction in the SPH code GADGET3, enhancing the existing isotropic formulation (Jubelgas et al. 2004). We present several approaches to handle this task and discuss the outcome using test cases as well as cluster simulations.

Alexander Arth

File Arrow Down Thesis

Functional Methods to Set Up and Analyze Hydrodynamical Simulations of Star-Forming Molecular Clouds

 

The thesis applies modern programming techniques to simulations of star-forming molecular clouds. It is composed of three parts: first, methods to efficiently set up, export, start, and analyze runs of a Smoothed Particle Hydrodynamics (SPH) simulation, using the Espresso simulator. Second, simulations of the radial density distribution of isothermal star-forming filaments using a custom one-dimensional grid simulator with cylindrical symmetry. And third, an assessment of the F# programming language, Common Language Infrastructure (CLI) and the functional programming paradigm in general for use in physical applications.

Georg Michna

File Arrow Down Thesis

Self-regulated Star Formation in Galactic Disks, Influenced by the Accretion of Cosmic Gas

 

Developing and testing numerical methods to examine the appearance of a self-regulated equilibrium state in spiral disk galaxies, where the star formation rate follows the accretion rate of extragalactic gas.

 

Max Brunner

File Arrow Down Thesis

Giant Clumps in High-Redshift Disk Galaxies

 

(i) Developing the required observations and theory. 

(ii) Setup of stable/unstable gas disks, embedded in a spherical dark matter halo, by using the grid-code RAMSES. 

(iii) Analyzing of the disk transformation and the developed clumps.

 

Manuel Behrendt

This website makes use of cookies. Please see our privacy policy for details.

Deny

OK